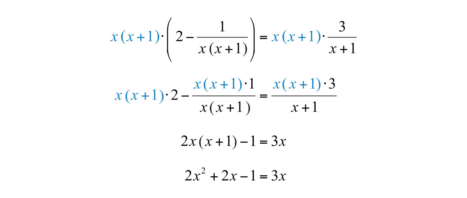
Algebra 2cp Worksheet 7 2 Solving Rational Equations Algebra

Algebra 2cp Worksheet 7 2 Solving Rational Equations Algebra is a free printable for you. This printable was uploaded at May 17, 2022 by tamble in Rational.

Algebra 2cp Worksheet 7 2 Solving Rational Equations Algebra

Solving Rational Equations With Numbers In Denominator Worksheet - A Logical Phone numbers Worksheet will help your son or daughter be a little more familiar with the concepts behind this rate of integers.

Solving R

Algebra 2cp Worksheet 7 2 Solving Rational Equations Algebra can be downloaded to your computer by right clicking the image. If you love this printable, do not forget to leave a comment down below.

More Collection of Algebra 2cp Worksheet 7 2 Solving Rational Equations Algebra

Leave a Comment