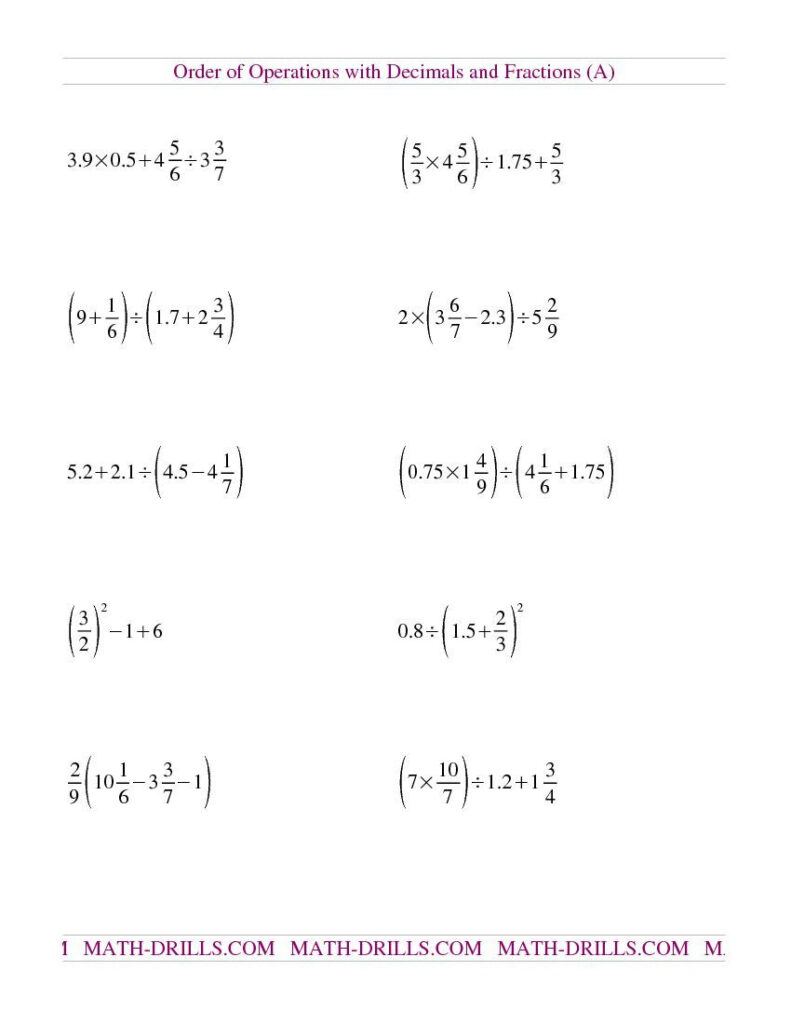
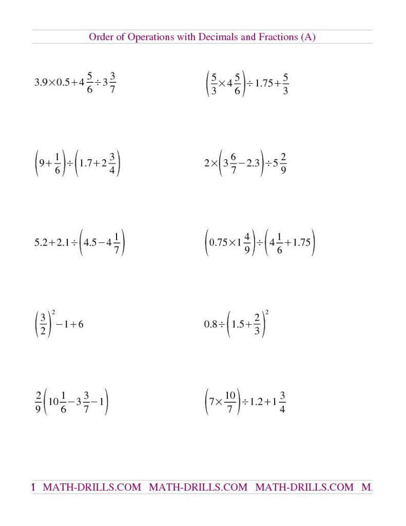
Operations With Rational Numbers Worksheet Pdf – A Logical Amounts Worksheet may help your son or daughter be more knowledgeable about the methods powering this ratio of integers. In this worksheet, pupils can remedy 12 distinct problems associated with reasonable expression. They will likely figure out how to grow 2 or more amounts, group them in pairs, and figure out their products. They are going to also practice simplifying realistic expressions. After they have perfected these concepts, this worksheet might be a valuable instrument for continuing their research. Operations With Rational Numbers Worksheet Pdf.
Realistic Numbers are a ratio of integers
The two main types of amounts: rational and irrational. Logical numbers are described as complete numbers, whilst irrational figures do not recurring, and have an limitless variety of numbers. Irrational numbers are low-no, no-terminating decimals, and square roots that are not perfect squares. These types of numbers are not used often in everyday life, but they are often used in math applications.
To define a rational number, you need to understand just what a realistic number is. An integer is a whole quantity, plus a realistic amount is a ratio of two integers. The ratio of two integers is the quantity on top separated by the number at the base. If two integers are two and five, this would be an integer, for example. However, there are also many floating point numbers, such as pi, which cannot be expressed as a fraction.
They are often produced in to a portion
A logical number includes a denominator and numerator that are not zero. Consequently they can be expressed like a portion. Together with their integer numerators and denominators, reasonable amounts can in addition have a adverse value. The negative value should be placed to the left of as well as its complete benefit is its extended distance from no. To make simpler this illustration, we shall state that .0333333 is actually a small percentage that can be written as being a 1/3.
Along with bad integers, a logical variety can even be produced right into a small percentage. By way of example, /18,572 is really a logical variety, whilst -1/ is not really. Any small fraction made up of integers is reasonable, as long as the denominator is not going to contain a and may be written as being an integer. Furthermore, a decimal that ends in a position is yet another rational variety.
They create feeling
Regardless of their label, reasonable figures don’t make a lot sense. In mathematics, these are individual entities with a distinctive length around the variety collection. Because of this if we add up anything, we can easily purchase the shape by its proportion to the authentic volume. This contains true even when there are unlimited rational figures involving two specific figures. In other words, numbers should make sense only if they are ordered. So, if you’re counting the length of an ant’s tail, a square root of pi is an integer.
In real life, if we want to know the length of a string of pearls, we can use a rational number. To obtain the period of a pearl, for example, we could count its thickness. A single pearl weighs in at ten kilograms, which is a realistic variety. In addition, a pound’s excess weight equates to ten kgs. Hence, we must be able to separate a pound by 10, without be worried about the length of just one pearl.
They could be indicated being a decimal
You’ve most likely seen a problem that involves a repeated fraction if you’ve ever tried to convert a number to its decimal form. A decimal quantity could be written being a a number of of two integers, so 4x 5 is the same as eight. An identical difficulty involves the frequent small fraction 2/1, and each side must be separated by 99 to have the right response. But how would you create the transformation? Here are several good examples.
A reasonable number may also be designed in various forms, which include fractions as well as a decimal. One method to stand for a reasonable variety inside a decimal would be to split it into its fractional equivalent. There are actually three ways to separate a reasonable quantity, and every one of these approaches produces its decimal counterpart. One of these brilliant ways would be to divide it into its fractional counterpart, and that’s what’s referred to as a terminating decimal.





