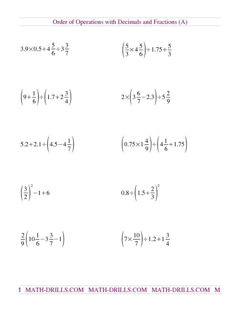
Operations With Rational Numbers Worksheet 7th Grade – A Logical Phone numbers Worksheet may help your kids become more familiar with the methods associated with this rate of integers. In this worksheet, pupils should be able to solve 12 various troubles associated with realistic expressions. They will discover ways to multiply several figures, class them in sets, and figure out their products and services. They will likely also process simplifying reasonable expression. After they have mastered these concepts, this worksheet will certainly be a important resource for continuing their reports. Operations With Rational Numbers Worksheet 7th Grade.
Reasonable Phone numbers are a percentage of integers
The two main kinds of phone numbers: irrational and rational. Rational numbers are described as total phone numbers, in contrast to irrational figures do not repeat, and possess an unlimited quantity of numbers. Irrational phone numbers are non-absolutely nothing, no-terminating decimals, and rectangular roots which are not best squares. These types of numbers are not used often in everyday life, but they are often used in math applications.
To establish a realistic amount, you need to understand just what a logical amount is. An integer is really a complete number, along with a rational quantity is a proportion of two integers. The proportion of two integers will be the variety ahead separated through the amount on the bottom. If two integers are two and five, this would be an integer, for example. However, there are also many floating point numbers, such as pi, which cannot be expressed as a fraction.
They are often produced in to a small fraction
A logical variety features a numerator and denominator that are not zero. Because of this they could be depicted like a portion. Together with their integer numerators and denominators, rational numbers can furthermore have a adverse importance. The negative importance should be placed to the left of along with its absolute value is its distance from absolutely no. To simplify this instance, we will point out that .0333333 can be a small fraction that could be composed as a 1/3.
As well as unfavorable integers, a rational quantity may also be created into a small percentage. By way of example, /18,572 is actually a logical quantity, although -1/ is just not. Any small fraction made up of integers is reasonable, so long as the denominator is not going to consist of a and will be written as being an integer. Similarly, a decimal that ends in a point is also a logical variety.
They make perception
Even with their label, logical numbers don’t make significantly feeling. In math, they can be one organizations by using a special size around the number series. This means that once we count up something, we can easily buy the dimensions by its percentage to the original amount. This holds correct even though you can find limitless rational amounts in between two specific figures. If they are ordered, in other words, numbers should make sense only. So, if you’re counting the length of an ant’s tail, a square root of pi is an integer.
In real life, if we want to know the length of a string of pearls, we can use a rational number. To discover the time period of a pearl, as an example, we might count its size. A single pearl is ten kilos, which is actually a rational variety. Furthermore, a pound’s body weight equates to ten kilos. Thus, we should certainly divide a lb by 15, without the need of be worried about the duration of a single pearl.
They may be depicted being a decimal
If you’ve ever tried to convert a number to its decimal form, you’ve most likely seen a problem that involves a repeated fraction. A decimal variety may be composed being a a number of of two integers, so four times several is equal to 8. An identical difficulty requires the recurring portion 2/1, and either side should be divided by 99 to get the proper respond to. But how will you have the conversion process? Here are several examples.
A logical quantity can also be written in great shape, including fractions and a decimal. A great way to represent a reasonable amount inside a decimal is to break down it into its fractional comparable. You can find three ways to separate a logical number, and all these methods brings its decimal equal. One of these brilliant approaches is always to separate it into its fractional equivalent, and that’s what’s known as the terminating decimal.





