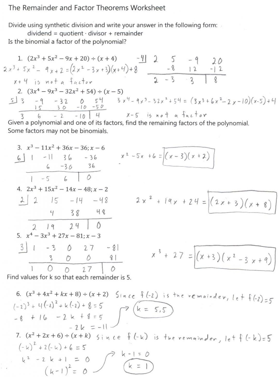
Synthetic Division Worksheet With Answers Pdf Divisonworksheets is a free printable for you. This printable was uploaded at June 19, 2025 by tamble in Addition.

Color By Numbers Worksheet Synthetic Division Answer Key - Superior addition drills are excellent methods to present students to algebra principles.
Synthetic Division Worksheet With Answers Pdf Divisonworksheets can be downloaded to your computer by right clicking the image. If you love this printable, do not forget to leave a comment down below.


